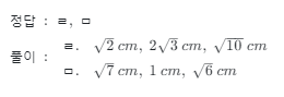
<문제>

<풀이>
| 중등 3학년 > 피타고라스의 정리 > 사각형의 넓이 구하기 프린트 학습지 (0) | 2024.01.19 |
|---|---|
| 중등 3학년 > 피타고라스의 정리 > 대각선의 길이 구하기 프린트 학습지 (0) | 2024.01.19 |
| 중등 3학년 > 피타고라스의 정리 > 정육면체의 대각선의 길이 구하기 프린트 학습지 (0) | 2024.01.19 |
| 중등 3학년 > 피타고라스의 정리 > 직육면체에서 한 면의 대각선의 길이 구하기 프린트 학습지 (0) | 2024.01.19 |
| 중등 3학년 > 실수와 그 계산 > 유리수와 무리수의 용어에 대한 이야기 (0) | 2023.12.29 |