Auto Clicker - SmartNFast – Apps on Google Play
Auto Clicker: Tap repeatedly, user-friendly, multiple points.
play.google.com


항상 내신시험에 빠지지 않고 등장하는 문제죠. 절대부등식을 증명하는 문제인데요, 이 문제를 꼼꼼하게 설명하는 해설이 많지 않아서 아주 상세히 다루도록 하겠습니다.
많은 학생들이 이러한 절대부등식 문제를 증명할 때 실수를 하는 부분이 있는데요. 가령 위와 같은 문제를 증명할 때 어떤 식으로부터 출발해야 하는지 잘 모르는 경우가 있어요. 아래처럼 실수를 하곤 합니다.

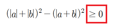
이 부등식을 놓고 증명해가기 시작한다는거죠. 아니면,

이 부등식을 증명의 시작으로 삼는 경우에요. 무엇이 이상할까요?
그건 바로 이 부분이예요.

0보다 크거나 같다는건 이 문제가 증명하고자 하는 결론이예요. 이미 증명의 결과를 식에 쓰고, 그러한 결과를 이용하여 증명을 전개해나가는 것은 다소 무리가 있어요.
따라서 증명을 해나갈 때에는 양변이 있는 부등식을 쓰면 안되고, 하나의 식에서 출발해야 합니다.

이 식이 과연 0보다 크거나 같을지를 증명해나가야 하는거죠. 그럼 식을 증명해보겠습니다.

왜 식을 제곱하는 지도 설명했듯이 하나 하나 그냥 넘어가지 않고 살펴보는게 중요해요. 이 유형의 증명 문제는 대부분 배점이 높은 '서술형'문제로 나오기 때문입니다.
이렇게 절대부등식의 증명 문제를 하나 다뤘습니다.
그럼 오늘도 좋은 하루 되세요
https://play.google.com/store/apps/details?id=com.clicker.smartnfast&hl=en-KR
Auto Clicker - SmartNFast – Apps on Google Play
Auto Clicker: Tap repeatedly, user-friendly, multiple points.
play.google.com
| 합집합, 교집합으로 부분집합 구하고 부분집합의 개수 구하기 연습문제 | 무료 PDF 다운로드 (0) | 2023.10.25 |
|---|---|
| 전체집합 U의 두 부분집합 A, B의 특정 영역의 최댓값 또는 최솟값 연습문제 | 무료 PDF 다운로드 (0) | 2023.10.24 |
| 명제 n이 자연수일 때, n제곱이 2의 배수이면 n도 2의 배수이다의 증명 문제 | 무료 PDF 다운로드 (0) | 2023.10.24 |
| 자연수 k의 배수의 집합 - 부분집합, 교집합, 합집합 연습문제 프린트 학습지 | 무료 PDF 다운로드 (0) | 2023.10.24 |
| x축, y축에 동시에 접하고, 한 점을 지나는 원의 방정식 구하기 연습문제 프린트 학습지 | 무료 PDF 다운로드 (1) | 2023.10.24 |