
수학II에서 함수의 그래프를 그릴 수 있는 능력은 필수죠. 그래프를 그리면 많은 문제를 해결할 수 있고 또 단서를 얻을 수 있으니까요. 특히 수능 킬러 문제에서는 함수 추론 문제가 끊이지 않고 나오기 때문에 함수의 그래프를 그리는 법을 잘 알아야 해요.
그런데 삼차함수와 사차함수의 그래프를 그리는 방법 중에 가장 많이 쓰이는 것이 도함수를 활용하여 함수의 극대 또는 극소를 찾는 거에요. 한 번 질문을 제기해봐요. 왜 극대 극소를 찾을까요?
만일 극대 극소라는 개념이 없다고 가정해볼게요. 그럴 때 삼차함수 또는 사차함수를 그려야 한다면 어떻게 해야 할까요. 어쩔 수 없이 함수의 그래프를 그리기 위해서 그래프 위의 점들을 찾아야겠죠.
대표적으로 어떤 점을 먼저 찾을까요.
네 아마도 x축, y축과 만나는 절편을 찾을거에요. 왜냐하면 x=0 을 대입하거나 y=0을 대입하는 것이 계산하기 쉽기 때문이죠. 다음과 같은 삼차함수가 있다고 가정해볼게요.

이 삼차함수의 그래프를 그리기 위해서 x=0을 대입해볼게요.

이렇게 그래프 위의 점 하나를 찾았어요. 그래프 위의 점 (0,9)가 있군요.

하지만 점 한개를 지나는 것만으로는 그래프의 개형을 그릴 수가 없어요. 너무 많기 때문이죠. 그럼 점을 더 찾아야 겠네요.
이번에는 y=0을 대입해볼까요.

이렇게 x에 관한 삼차방정식이 생겼어요. 그런데 이 삼차방정식의 해를 구할 수가 없어요. 인수분해가 안되기 때문이죠. 근이 있긴 하지만 해를 구하기 어려워요. 그럼 어떻게 할까요.
아무 점이나 막 집어넣어야해요.
x=1, 2, 3을 넣어보면, y=20, 31, 36의 값을 가지므로
(1,20), (2,31), (3,36) 을 지나네요.
그런데 y의 값이 너무 커서 다시 그려야 겠네요. 비율을 맞추기 위해서요.

점을 4개를 찾았는데도 불구하고 삼차함수의 개형이 어떤지 감이 오지 않네요. 그래도 한 번 예상을 해볼까요.

4개의 점을 지나는 삼차함수의 그래프가 무엇인지 예상하기가 어려워요. 4개보다 더 많은 점을 찾아야 할 것 같네요.
그럼 x=-1, -2, -3을 대입해볼게요.
y =4,11,36 의 값을 가짐로 (-1,4), (-2,11), (-3,36) 을 지난다는 것을 알 수 있어요.

점점 삼차함수의 그래프 윤곽이 드러나고 있어요. 저 위의 7개의 점을 지나는 삼차함수의 그래프를 예상해보면
이렇게 그려질 것을 알 수 있게 됩니다.

그럼 이것보다 더 쉽게 삼차함수의 개형을 그릴 수 있는 방법이 없을까요? 그리고 극대 극소는 정확히 어디일까요? 하나 x=-1 근처에서 극소를 가지는 것 같은데 정확히 x=-1에서 극소를 가질까요? 저 그림만 보면 확실하지 않죠. x가 얼마일 때 극대를 가지는지도 분명한 값으로 구하기 매우 어려워요. 대강 x=2보다 조금 크면 극대를 갖는다는 정도면 알죠.
도함수를 활용하여 극대 극소를 구해야 하는 이유가 바로 여기에 있는 거랍니다.
첫째, 그래프 개형을 그리는 불편함을 해소한다.(=그래프를 편하게 그릴 수 있게 한다)
둘째, 실제로 극대와 극소를 찾을 수 있다.
이제 그럼 도함수를 활용하여 극대 극소를 찾아보도록 해요
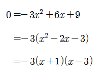
먼저 위 삼차함수의 도함수를 구하기 위해 미분을 하게 되면,

도함수가 나오죠. 도함수의 값은 임의의 x값에 대하여 접선의 기울기값을 함수값으로 가지는 함수이므로
기울기가 0이 될 때의 x값을 찾기 위해
y'=0 을 대입해요. 기울기가 0일 때, x값을 찾는다는 뜻이에요.

인수분해가 되는데요, 이걸 이차함수의 그래프와 x축과의 관계로 살펴보면,

x=-1일 때에는 부호가 -에서 + 바뀌므로 극소,
x=3일 때에는 부호가 +에서 -로 바뀌므로 극대라는 걸 알 수 있어요.
극솟값은 x=-1일 때 f(-1)=4, 극댓값은 x=3일 때 f(3)=36 이므로
이제 이 두 개의 점을 표시를 해보면 아래와 같아요.

극대 극소를 이용하지 않을 때와 비교해보면 점의 개수가 훨씬 적다는 걸 알 수 있죠. 아까는 7개의 점을 찾은 반면에 극대 극소는 단 2개의 점만 찾으거에요. 그런데 어떻게 그래프를 그릴 수 있을까요?
그건 바로 극대 극소라는 정보까지 알기 때문이에요. 극대 극소를 알면 점이 2개뿐이어도 정확히 어떤 모습일지 쉽게 알 수 있거든요.

| 절댓값 기호를 포함한 일차함수의 그래프, y=|f(x)|,y=f(|x|),|y|=f(x),|y|=f(|x|)꼴 연습문제 프린트 PDF (0) | 2022.10.20 |
|---|---|
| 수학II > 도함수의 활용 > 사차함수의 개형 4가지, f'(x)=0의 실근의 종류가 유형의 기준! (1) | 2022.10.18 |
| 수학II > 도함수의 활용 > 삼차함수의 그래프 개형 3가지, f'(x)=0 의 실근이 특별한 이유 (0) | 2022.10.17 |
| 수학I > 수열 > 수학적 귀납법이 도미노와 같은 이유 (0) | 2022.10.17 |
| 수학(상) > 이차방정식의 근의 공식 증명(유도과정) + 이차방정식 문제 프린트 학습지 (1) | 2022.10.14 |