https://play.google.com/store/apps/details?id=com.clicker.smartnfast&hl=en-KR
Auto Clicker - SmartNFast – Apps on Google Play
Auto Clicker: Tap repeatedly, user-friendly, multiple points.
play.google.com
ModooMath - 무제한으로 만들어지는 수학 문제 학습지
ModooMath는 수학 문제 학습지를 무제한으로 생성하고 화면에서 즉시 풀 수 있도록 제공하는 온라인 서비스입니다. 초등, 중등, 고등 교과서에서 다루는 핵심적인 문제들을 다양하게 제공하며, 필
www.modoo-math.com
원의 둘레와 넓이를 구하는 다양한 문제에 대해서 알아보겠습니다.
초등학교에서는 원주율이라는 개념을 숫자 3 또는 3.1 똔느 3.14 로 계산했는데요,
이 값은 실제값이 아닌 근사값이에요.
실제값은 소수점 이하로 끝없이 펼쳐지는 무리수기 때문에 표현할 수 있는 문자를 사용하는데 그게 파이예요.
원의 둘레와 넓이를 구하는 다양한 유형을 어떻게 푸는지 설명해드릴게요.
그리고 아래에 첨부되어 있는 이미지를 클릭하셔서 많은 문제를 연습할 수 있도록 할게요.
그럼 하나씩, 문제를 보면서 설명드릴게요.

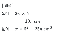
이 문제는 원의 둘레와 넓이를 구하는 문젠데요,
원의 둘레를 구하는 공식은 지름 X 원주율(파이)예요.
이 문제에서 지름은 8이므로 8 X 파이로 계산하면 됩니다.
원의 넓이를 구하는 공식은 반지름 X 반지름 X 원주율(파이)예요.
이 원의 반지름은 4이므로 4 X 4 X 파이 = 16 파이가 됩니다.
해설도 이미지로 첨부할게요.

ModooMath - 무제한으로 만들어지는 수학 문제 학습지
ModooMath는 수학 문제 학습지를 무제한으로 생성하고 화면에서 즉시 풀 수 있도록 제공하는 온라인 서비스입니다. 초등, 중등, 고등 교과서에서 다루는 핵심적인 문제들을 다양하게 제공하며, 필
www.modoo-math.com
https://play.google.com/store/apps/details?id=com.clicker.smartnfast&hl=en-KR
Auto Clicker - SmartNFast – Apps on Google Play
Auto Clicker: Tap repeatedly, user-friendly, multiple points.
play.google.com
| 중2 수학 > 단항식의 계산 > 지수법칙 연습문제 프린트 학습지 (0) | 2023.06.20 |
|---|---|
| 중1 수학 > 도형의 둘레와 넓이 > 부채꼴 연습문제 프린트 학습지 (0) | 2023.06.20 |
| 중1 수학 > 소인수분해 > 소인수분해 연습문제 프린트 학습지 (0) | 2023.06.20 |
| 중2 > 일차함수 > 함수의 정의, 함수란 '연결(혹은 대응)'이다. (0) | 2023.05.03 |
| 중1 수학 > 입체도형 > 잘라진 원기둥의 넓이 구하기 연습문제 프린트 (0) | 2022.10.20 |