Auto Clicker - SmartNFast – Apps on Google Play
Auto Clicker: Tap repeatedly, user-friendly, multiple points.
play.google.com

<문제>

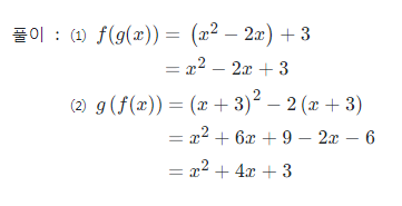
<풀이>

https://play.google.com/store/apps/details?id=com.clicker.smartnfast&hl=en-KR
Auto Clicker - SmartNFast – Apps on Google Play
Auto Clicker: Tap repeatedly, user-friendly, multiple points.
play.google.com
| 유리함수의 그래프 평행이동 연습문제 프린트 학습지 | 무료 PDF 다운로드 (0) | 2023.10.18 |
|---|---|
| 유리함수의 대칭, 미지수 구하기 연습문제 프린트 학습지 | 무료 PDF 다운로드 (0) | 2023.10.18 |
| 역함수의 값 구하기 연습문제 프린트 학습지 | 무료 PDF 다운로드 (1) | 2023.10.18 |
| 유리함수 대칭점 연습문제 프린트 학습지 | 무료 PDF 다운로드 (0) | 2023.10.18 |
| 고등 > 수학I > 지수 > 지수법칙 연습문제 무제한 프린트 학습지 | 무료 PDF 다운로드 (0) | 2023.06.22 |